Ever wonder how AI recognizes faces, translates languages, or recommends your next favorite song? Behind this magic lies a powerful mathematical tool called linear algebra. One key concept used extensively in AI is the transpose operation. Don't let the fancy name scare you!
What is Transpose?
Transpose is a fundamental operation in linear algebra that involves flipping a matrix over its diagonal, effectively swapping its rows and columns. To put it simply, it's like rotating a spreadsheet by 90 degrees, exchanging rows for columns and vice versa.
How does Transpose work?
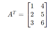
Consider a matrix represented as:

The transpose of matrix A, denoted as AT, is obtained by flipping its rows and columns:

As illustrated, the rows become columns and vice versa in the transposed matrix.
Example: Transpose in Image Processing
One practical application of transpose in AI is in image processing. Consider a grayscale image represented as a matrix, where each element corresponds to the pixel intensity at a particular position. By transposing this matrix, we can rotate the image by 90 degrees, 180 degrees, or any desired angle, facilitating various image manipulation tasks.
Beyond Image Processing: Transpose Empowers AI
Transpose plays a pivotal role in AI beyond image processing:
Efficient Matrix Multiplication: Calculating distances between data points, vital for tasks like image recognition, is made more efficient with transpose.
Data Representation: Transpose allows AI models to seamlessly adjust and analyze data in different formats, enabling transformations from portrait to landscape, metaphorically speaking.
Simplified Calculations: Certain operations become more streamlined on transposed matrices, enabling AI algorithms to run faster and solve complex problems with ease.
Deepen Your Understanding with De-Bug!
Curious to explore more? Stay tuned for upcoming newsletters where we dive into practical AI applications. We break down complex concepts into relatable examples and deliver them straight to your inbox.
Join us and become an AI insider, equipped to navigate this ever-evolving field!
